Az injektálható szulfobutil-éter béta-ciklodextrin prémium segédanyag a parenterális gyógyszerkészítményekhez. A Xi'an DELI Biochemical nagy tisztaságú SBEβCD-t biztosít állandó minőséggel és műszaki támogatással. Lépjen kapcsolatba velünk még ma mintákért és részletes termékinformációkért.
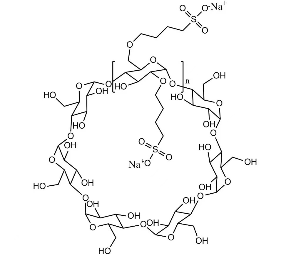
Injektálható szulfobutil-éter béta-ciklodextrin(SBEβCD) egy nagy tisztaságú, vízben oldódó ciklodextrin származék, amelyet kifejezetten ainjekciós és parenterális gyógyszerkészítmények. Növeli a rosszul oldódó hatóanyagok (API-k) oldhatóságát, stabilitását és biológiai hozzáférhetőségét, stabil zárványkomplexeket képezve, amelyek biztosítják a konzisztens gyógyszerleadást és terápiás teljesítményt.
Alkalmas intravénás, intramuszkuláris és szubkután alkalmazásra,SBEβCDmegakadályozza a kicsapódást, csökkenti a kémiai lebomlást, és támogatja az érzékeny API-kat szemészeti oldatokban, orrspray-ben és más folyékony készítményekben. Kiváló vízoldhatósága, alacsony toxicitása és biokompatibilitása miatt a kutatás, a klinikai fejlesztés és a kereskedelmi injekciós termékek kedvelt segédanyaga.
Xi'an DELI Biochemical Industry Co., Ltd.Az 1999-ben alapított cég több mint 26 éves tapasztalattal rendelkezik ciklodextrin származékok, köztük az SBECD és a Hydroxypropyl Betadex gyártásában. A vállalat állandó, nagy tisztaságú termékeket kínál szigorú minőség-ellenőrzéssel, műszaki támogatással és megbízható globális ellátással a gyógyszerészeti, állatgyógyászati és kozmetikai piacok számára. Elemzési tanúsítványok (COA), műszaki adatok és mintaértékelések állnak rendelkezésre a készítményfejlesztés támogatására.
Lépjen kapcsolatba velünk még ma, és kérjen mintákat, műszaki adatokat vagy árajánlatotInjektálható szulfobutil-éter béta-ciklodextrin (SBEβCD)és fokozza az injekciós készítmények oldhatóságát, stabilitását és teljesítményét.

Betadex-szulfobutil-éter-nátrium, CAS-szám 182410-00-0
Szulfobutil-éter béta ciklodextrin-nátrium
Betadex szulfobutil-éter nátrium injekciós minőségű
Betadex szulfobutil-éter-nátrium SBECD injekciós minőségű gyógyszerkészítményekhez
Betadex szulfobutil-éter-nátrium CAS 182410-00-0
DMF Betadex szulfobutil-éter-nátrium 182410-00-0